|
L'ona produïda per una corda vibrant.
De la mateixa forma que la llargada d'un tub és allò que determina la nota obtinguda per aquest, en una corda vibrant influeixen altres factors.
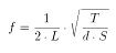
La nota produïda per una corda vindrà determinada per la longitud (L), la tensió (T), la densitat (d) i la secció (S). Així, si disposem d'una corda molt tensa i prima, obtindrem una nota aguda; i pel contrari, si la corda és poc tensada i gruixuda, la notà serà greu.
De fet, la freqüència es pot trobar a partir de la fórmula:
Vegem ara la relació gràfica entre la longitud d'una corda (L), la freqüència (f) i longitud d'oscil·lació d'una ona (l) produïda en fer vibrar la corda.
Anem a veure també quins són els diferents sons (harmònics), que obtindrem en fer vibrar la corda. Per això hem de tenir en compte que sempre ha d'haver un node als extrems de la corda.
|
Aquesta seria l'ona fonamental o primer harmònic.
La longitud de l'ona és 2 vegades la de la corda
La freqüència és f
|
l = 2L
f1
|
 |
Si dividim la corda en dos parts, la longitud d'ona serà igual a la longitud de la corda.
La seva freqüència és 2 vegades més gran que l'anterior.
Aquesta ona correspondria al segon harmònic
El so sería una octava més altra que el fonamental.
|
l2 = L
f2=2 · f1
|
|
La longitud d'ona és 2/3 de la longitud de la corda.
La seva freqüència és 3 vegades més gran que la primera.
Aquesta ona correspondria al tercer harmònic.
I és la quinta del segon harmònic.
|
l3 = 2/3 L
f3=3 · f1
|
|
La longitud d'ona és 1/2 de la longitud de la corda.
La seva freqüència és 4 vegades més gran que la primera.
Aquesta ona correspondria al quart harmònic.
El so seria dues octaves més amunt que el fonamental i la quarta del tercer harmònic.
|
l4 = 1/2 L
f4=4 · f1
|
Si repetíssim aquest procés indefinidament, obtindríem tots els harmònics del so. La seva freqüència s'obté multiplicant la freqüència fonamental per tots els nombres naturals.
Aquestes relacions entre les freqüències van donar peu als pitagòrics a construir una escala musical que es basaba en la relació harmòniosa entre les notes.
Dividint les freqüències d'un harmònic amb l'anterior s'obtenen els intervals que s'utilitzen per a construir l'escala musical.
- 2n / 1r = 2/1 (l'octava)
- 3r /2n =3/2 (la quinta)
- 4rt/3r =4/3 (la quarta)
- i així succesivament
Tots aquests sons són els que denomina l'escala dels harmònics.
|